数苑藕舫论坛(2025年第31期):特邀华侨大学黄华林教授作学术报告

发布单位:数学与统计学院 编辑:师朝军发布时间:2025-10-23浏览量:

地点 藕舫楼 724室 报告人 黄华林 教授
报告时间 2025-10-24 15:30:00 主持人 姚卫 教授

报告题目:从平方和谈起

报告人: 黄华林 教授

报告时间:20251024日(周五)15:30-16:10

报告地点:藕舫楼 724

主持人: 姚卫 教授

报告摘要:

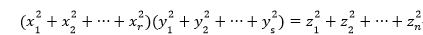
本报告围绕伟大数学Adolf Hurwitz在1898年提出的一个著名问题展开: 确定所有形如的恒等式,其中每个均为的双线性型。我们将介绍该问题的相关历史、研究现状,以及利用量子代数方法获得的一些进展。此外,我们还将简要介绍如何利用高次型的中心研究以上问题的更高次版本。


报告人简介: 华侨大学特聘教授、博士生导师、教务处处长,福建省高层次引进人才,教育部教学指导委员会委员,闽江教学名师。主要研究代数理论及相关应用,涉及表示论、量子代数、环与代数等领域,有系列成果发表在J. Reine Angew. Math.Comm. Math. Phys.Trans. Amer. Math. Soc.等国际知名杂志上。主持国家自然科学基金、教育部博士点基金等多个科研项目,并获联合国教科文组织、欧盟及德意志学术交流中心等多个基金资助,以第一完成人获福建省自然科学奖二等奖。


欢迎广大师生踊跃参加!


数学与统计学院

江苏省应用数学(南京信息工程大学)中心

江苏省系统建模与数据分析国际合作联合实验室

江苏省统计科学研究基地

20251023